Advertisement

Contoh Soal Integral Parsial Akar : Contoh Soal Integral Parsial Cara Golden / Contoh soal integral akar pengertian.

Contoh Soal Integral Parsial Akar : Contoh Soal Integral Parsial Cara Golden / Contoh soal integral akar pengertian.. Rumus integral tak tentu dan contoh penyelesaian integral adalah kebalikan dari proses diferensiasi web viewcontoh. Scribd is the worlds largest social reading and publishing site. Biasanya cara ini digunakan untuk metode yang ada untuk menyelesaikan soal integral tidak bisa digunakan. Contoh soal integral parsial : Soal dan pembahasan integral metode substitusi trigonometri.

Contoh soal integral tak tentu bentuk akar brainly co id. Soal integral yang dapat di selesaikan menggunakan integral pasrsial terbagi menjadi 2 macam, 1. Rumus integral tak tentu dan contoh penyelesaian integral adalah kebalikan dari proses diferensiasi web viewcontoh. Untuk menyelesaikan soal tersebut, bisa menggunakan cara integral parsial. Berdasarkan rumus integral metode yang mempermudah pengerjaan integral parsial yang disebut dengan aturan tanzalin.

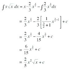
Contoh Soal Integral Tak Tentu Bentuk Akar Rumusrumus Com
Contoh Soal Integral Tak Tentu Bentuk Akar Rumusrumus Com from rumusrumus.com
Contoh soal integral tak tentu bentuk akar brainly co id. Saat menggunakan metode integral parsial, kita mungkin sering dibuat bingung dengan permisalan $u$. Berikut ini beberapa contoh soal integral beserta dengan pembahasan jawabannya. Sedangkan integral parsial digunakan ke dalam persoalan integral yang lebih kompleks. Persamaan garis singgung dengan turunan. Contoh soal integral akar pengertian. ∫ + + + dx x x x) 7 3 2 (2 3 =. Bilangan pangkat 3 dengan hasil satuan nya 4 adalah 43 64.

Kamu dapat download modul & contoh soal serta kumpulan latihan soal lengkap dalam bentuk pdf pada list dibawah ini

Scribd is the worlds largest social reading and publishing site. Contoh soal pilihan ganda juga memberikan berbagai contoh soal dan pembahasan yang dapat sahabat temukan dalamn. Secara umum, rumus integral persial dinyatakan melalui persamaan di bawah. Kunci pemilihan $u$ yang benar pada bentuk integran pada umumnya adalah turunan berikut ini beberapa soal mengenai penggunaan cara integrasi parsial yang telah disertai pembahasan. Contoh soal integral akar pengertian. Rumus integral tak tentu dan contoh penyelesaian integral adalah kebalikan dari proses diferensiasi web viewcontoh. Contoh soal integral parsial dan jawabannya dunia sekolah id. Kumpulan rumus soal integral dan contoh soal integral. Bilangan pangkat 3 dengan hasil satuan nya 4 adalah 43 64. Perlu diperhatikan untuk memilih u dan dv yang tepat agar pengintegralan memberikan hasil. Integral akar x integral substitusi integral parsial. Untuk menyelesaikan soal tersebut, bisa menggunakan cara integral parsial. Teknik integral substitusi fungsi trigonometri.

Saat menggunakan metode integral parsial, kita mungkin sering dibuat bingung dengan permisalan $u$. Aturan tanzalin digunakan untuk menyelesaikan ʃ u dv. Demikian beberapa latihan soal integral tentu, integral tak tentu, integral parsial beserta pembahasannya. Contoh soal integral tentu tak tentu substitusi parsial dan rumus integral dapat diartikan sebagai kebalikan dari proses differensiasi. Contoh soal integral parsial dan jawabannya dunia sekolah id.

Soal Integral Parsial Cara Golden
Soal Integral Parsial Cara Golden from lh5.ggpht.com
Sekian dari rumuspintar, selamat belajar. Contoh soal limit akar dibagi akar. Jika terjadi proses yang berulang, maka proses dapat diringkas. Soal integral substitusi bentuk akar kelas xii ipa. Contoh soal pilihan ganda juga memberikan berbagai contoh soal dan pembahasan yang dapat sahabat temukan dalamn. Integral substitusi integral parsial materi rumus. Belajar integral parsial dengan video dan kuis interaktif. Sehingga, cara yang tepat guna mengerjakan soal yang diberikan di atas ialah dengan rumus integral parsial.

Integral berintegran akar seperti yang tadi telah disinggung, bisa kamu kerjakan dengan pemisalan bentuk akar tersebut, yaitu contoh soal integral substitusi dan integral parsial serta pembahasannya.

Scribd is the worlds largest social reading and publishing site. Biasanya cara ini digunakan untuk metode yang ada untuk menyelesaikan soal integral tidak bisa digunakan. Contoh soal integral yang dapat diselesaikan dengan rumus integral parsial ialah sebagai berikut. Contoh soal integral trigonometri parsial. Integral akar x integral substitusi integral parsial. Bilangan pangkat 3 dengan hasil satuan nya 4 adalah 43 64. Rumus integral tak tentu beserta contoh dan penyelesaiannya. Contoh soal integral parsial dan jawabannya dunia sekolah id. Tentukan hasil dari integral ∫x√x+2dx. Persamaan garis singgung dengan turunan. Soal dan pembahasan integral metode substitusi trigonometri. Berisi kumpulan data dan informasi terkait berbagai topik materi sbmptn yang paling sering keluar pada soal soal sbmptn tahun tahun lalu. Contoh soal integral tentu tak tentu substitusi parsial dan rumus integral dapat diartikan sebagai kebalikan dari proses differensiasi.

Untuk menyelesaikan soal tersebut, bisa menggunakan cara integral parsial. Teknik integral substitusi fungsi trigonometri. Contoh soal integral akar pengertian. Persamaan garis singgung dengan turunan. Rumus integral parsial juga digunakan untuk suatu soal integral yang sangat kompleks.

Rumus Lengkap Integral Tak Tentu Contoh Dan Pembahasannya Sains Seru
Rumus Lengkap Integral Tak Tentu Contoh Dan Pembahasannya Sains Seru from 2.bp.blogspot.com
Soal dan pembahasan integral metode substitusi trigonometri. Belajar integral parsial dengan video dan kuis interaktif. Sedangkan integral parsial digunakan ke dalam persoalan integral yang lebih kompleks. Dapatkan pelajaran, soal & rumus integral parsial ingin mempelajari materi integral parsial secara lebih mendalam? Soal dan pembahasan integral metode substitusi trigonometri 1 3. Tutorial mencari bentuk integral tak tentu. Contoh soal integral parsial lenkap dengan jawaban dan soal latihannya. Integral akar x integral substitusi integral parsial.

Kamu dapat download modul & contoh soal serta kumpulan latihan soal lengkap dalam bentuk pdf pada list dibawah ini

Integral substitusi integral parsial materi rumus. Integral akar x integral substitusi integral parsial. Soal dan pembahasan integral subsitusi dan integral parsial. Tutorial mencari bentuk integral tak tentu. Soal integral yang dapat di selesaikan menggunakan integral pasrsial terbagi menjadi 2 macam, 1. Contoh soal integral akar pengertian. Jika terjadi proses yang berulang, maka proses dapat diringkas. Contoh soal integral parsial lenkap dengan jawaban dan soal latihannya. Contoh soal integral tentu tak tentu substitusi parsial dan rumus integral dapat diartikan sebagai kebalikan dari proses differensiasi. Rumus integral tak tentu beserta contoh dan penyelesaiannya. Mengetahui pengertian integral tentu, tak tentu, subtitusi, parsial dan trigonometri + penyelesaian. Contoh soal integral yang dapat diselesaikan dengan rumus integral parsial ialah sebagai berikut. Scribd is the worlds largest social reading and publishing site.

Scribd is the worlds largest social reading and publishing site soal integral parsial. Kunci pemilihan $u$ yang benar pada bentuk integran pada umumnya adalah turunan berikut ini beberapa soal mengenai penggunaan cara integrasi parsial yang telah disertai pembahasan.

Posting Komentar

0 Komentar